R's ggplot2 is a popular and versatile data visualization package.
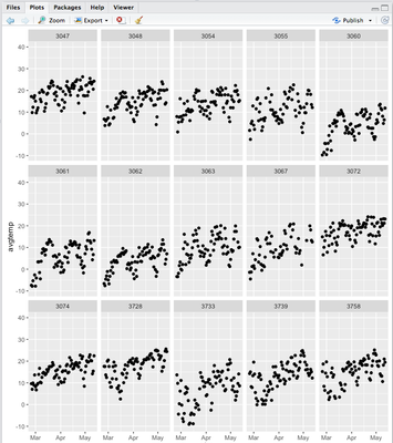
The facet plots are a particularly useful method to identify characteristics and anomalies. We can break a scatter plot into facets simply by adding + facet_wrap(~myVar) to an existing plot. Here's an example plot (screenshot from RStudio):

Zeppelin supports the R interpreter. Providing R is installed, we can run R commands inside a notebook cell:

In this case, we ran a Hive query and created a facet plot.
The question: it looks to me like Zeppelin has created a raster image that's been upscaled and therefore looks fuzzy. In RStudio, the plots look a lot crisper.
I notice that there's an open JIRA for this: https://issues.apache.org/jira/browse/ZEPPELIN-1445
Is there a way to make ggplots look crisp in Zeppelin? Is there a way to render plots as PDF's, i.e. a vector format that doesn't get blurry when scaled, and then display those PDF's inside of the Zeppelin notebook?